| Autor |
Beitrag |
   
Gernot-Sebastian Haase
Neues Mitglied Benutzername: Flyer
Nummer des Beitrags: 17 Registriert: 11-2002
| | Veröffentlicht am Montag, 03. November 2003 - 13:24 Uhr: |
|
Hallo, ich wollte mal fragen ob man auch Raketen fliegen darf, die fast Schallgeschwindigkeit erreichen! Werden nur mit C Treibsätzen geflogen. |
   
Sly Wartmann
Moderator Benutzername: Sly
Nummer des Beitrags: 1004 Registriert: 10-2002
| | Veröffentlicht am Montag, 03. November 2003 - 13:59 Uhr: |
|
Dürfen schon, solange andere Gesetze (Luftrecht etc) nicht berührt werden. Frage aber: Was hast du denn für C-Motoren?????
Gruss,Sly
|
   
Martin Christopher Feldmann
Senior Mitglied Benutzername: Mcfeldmann
Nummer des Beitrags: 330 Registriert: 04-2003
| | Veröffentlicht am Montag, 03. November 2003 - 14:37 Uhr: |
|
Eigentlich ist doch das fliegen mit schallgeschwindigkeit verboten, oder? (In diesem Fall) mfg Martin IMR-01028
|
   
Oliver Missbach
Forum-Administrator Benutzername: Oliver
Nummer des Beitrags: 3859 Registriert: 01-2000
| | Veröffentlicht am Montag, 03. November 2003 - 16:10 Uhr: |
|
Die Frage, wie weit das für Modellraketen gilt, ist umstritten und wurde auch bereits im Forum diskutiert: http://www.modellraketen-forum.de/board/messages/1/7279.html |
   
Jörn Martens
Moderator Benutzername: Joern
Nummer des Beitrags: 482 Registriert: 12-2000
| | Veröffentlicht am Montag, 03. November 2003 - 18:44 Uhr: |
|
die fast Schallgeschwindigkeit erreichen! fast Schallgeschwindingkeit sollte kein Problem sein, Überschall dagegen event. schon s.o. Werden nur mit C Treibsätzen geflogen. Mit einem C Treibsatz wirst du wohl kaum in diesen Bereich kommen, wenn dann höchsten mehrstufig => T2 |
   
Frank Blessmann
Senior Mitglied Benutzername: Magierfrank
Nummer des Beitrags: 294 Registriert: 04-2003
| | Veröffentlicht am Donnerstag, 06. November 2003 - 19:26 Uhr: |
|
Mit viel Glück und einem Super Aerotechnischen Design ist das ab I-Motor schon möglich. Gruß Frank IMR-01026
|
   
Tobias Schrörs
Aktives Mitglied Benutzername: Raidenp99
Nummer des Beitrags: 152 Registriert: 02-2003
| | Veröffentlicht am Donnerstag, 06. November 2003 - 19:33 Uhr: |
|
Hört sich ja interessant an. Aber wie soll das mit nem C-Motor gehen? So eine Rakete will ich dann auch haben Gruß Tobias
|
   
Sly Wartmann
Moderator Benutzername: Sly
Nummer des Beitrags: 1014 Registriert: 10-2002
| | Veröffentlicht am Donnerstag, 06. November 2003 - 22:13 Uhr: |
|
Nein, die Rakete bau ich, aber den Motor würd ich auch ganz gern...
Gruss,Sly
|
   
Huge Panic
Neues Mitglied Benutzername: Hugepanic
Nummer des Beitrags: 9 Registriert: 11-2003
| | Veröffentlicht am Montag, 24. November 2003 - 15:34 Uhr: |
|
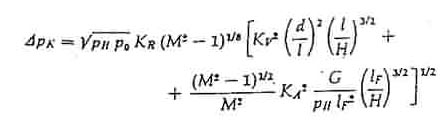
hier mal n bischen überschalltheorie: ich kenn das ganze so vom "richtigen" flugzeug. das überschallfliegen an sich ist NICHT verboten. nur entsteht dabei halt der "überschallknall". wie stark der ist, läßt sich mit ner relativ langen formel ausrechnen, hängt aber hauptsächlich von flughöhe, geschwinkigeit und GEWICHT ab. da die dinger aber nix wiegen sollte das keine probleme machen...also gebt´s gas.. P.S.: wer die formel haben will, soll´s sagen |
   
Chris Loncarovich
Neues Mitglied Benutzername: Lev
Nummer des Beitrags: 22 Registriert: 11-2003
| | Veröffentlicht am Montag, 24. November 2003 - 16:11 Uhr: |
|
*meld* Wer einen Rechtschreibfehler findet, darf ihn behalten und als Nutzlast verwenden.
|
   
Huge Panic
Neues Mitglied Benutzername: Hugepanic
Nummer des Beitrags: 12 Registriert: 11-2003
| | Veröffentlicht am Dienstag, 25. November 2003 - 13:06 Uhr: |
|
hier ist das ding
 |
   
Tobias Schrörs
Aktives Mitglied Benutzername: Raidenp99
Nummer des Beitrags: 167 Registriert: 02-2003
| | Veröffentlicht am Dienstag, 25. November 2003 - 14:05 Uhr: |
|
Ahja , ist doch kein Problem, das nehmen wir gerade in Mathe durch
 Gruß Tobias
|